Kahramanmaraş TOKİ konut kurası: Hak sahipleri belli oldu!
TOKİ Kahramanmaraş Onikişubat konut kura sonuçları açıklandı. 2+1 ve 3+1 daireler için hak sahipleri belirlendi. Kura sonuçları, ödeme koşulları ve detaylar için haberimizi inceleyebilirsiniz.
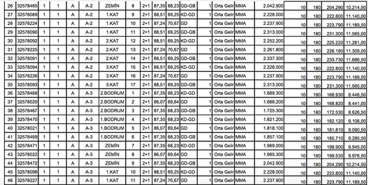
TOKİ tarafından Kahramanmaraş Onikişubat ilçesinde yapılan konut belirleme kura sonuçları açıklandı. 2+1 ve 3+1 dairelerin hak sahiplerinin belirlendiği kura, TOKİ’nin YouTube kanalından canlı olarak yayımlandı. Kura çekilişi, 2+1 tipi 233 daire ve 3+1 tipi 103 daire olmak üzere toplamda 336 konut için yapıldı. Kura sonuçları ve ödeme koşullarıyla ilgili detaylı bilgilere haberimizden ulaşabilirsiniz.
Kahramanmaraş Onikişubat’taki TOKİ projesi kapsamında, toplamda 100 bin konut yapılacak. Bu proje çerçevesinde, 233 adet 2+1 ve 103 adet 3+1 konutun hak sahiplerinin belirlendiği kura, TOKİ'nin YouTube kanalından canlı olarak izlenebildi. Kahramanmaraş Onikişubat Fatih Mahallesi’nde yapılan kura ile konut yerleri netleşti.

Kura Sonrası Süreç:
Hak sahipleri, 5-28 Mart 2025 tarihleri arasında T. Halk Bankası Onikişubat/Kahramanmaraş Şubesi'ne giderek Gayrimenkul Satış Sözleşmesi'ni imzalayacaklar. Peşinat ödemesini yapmayanlar, konut alma hakkını kaybedecek. 2+1 ve 3+1 daire sahipleri, konutlarını memur maaş artış oranına göre belirlenen ödeme planıyla alacaklar.


Ödeme ve Sözleşme Şartları:
Konut alıcıları, %10 peşinat ödeyerek ve 180 ay vade ile konutlarını alabilecekler. Peşinat ödemesi, sözleşme imzalanırken yapılacak. Kalan borç bakiyesi ve taksitler, her yıl Ocak ve Temmuz aylarında memur maaş artış oranına göre artacak. Ödemeler, konut teslim tarihini takip eden ayda başlayacak ve ilk artış TOKİ tarafından belirlenecek.
Kahramanmaraş'ta 2+1 ve 3+1 dairelerin satış fiyatları hakkında detaylı bilgi için ilgili sayfayı ziyaret edebilirsiniz.
Kaynak: Haber merkezi
Türkçe karakter kullanılmayan ve büyük harflerle yazılmış yorumlar onaylanmamaktadır.