Büyükşehir’in işçi kuraları çekildi! İşte liste...
Yayınlanma:
Büyükşehir’in işçi kuraları çekildi! İşte liste...
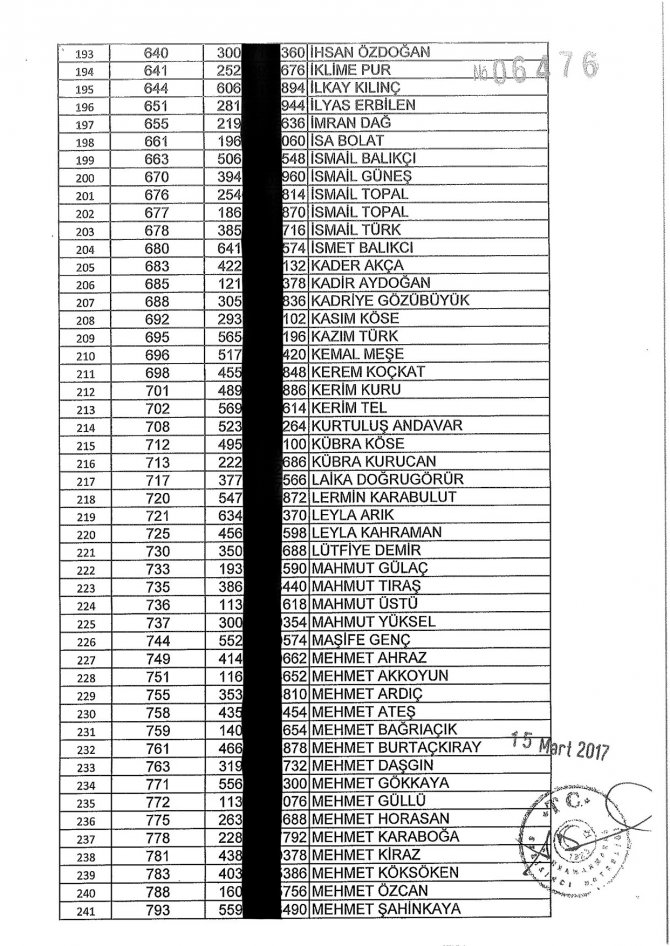
Kahramanmaraş Büyükşehir Belediyesi ve İŞKUR işbirliği ile yapılan protokol gereği istihdam edilecek işçilerin kur’a çekimleri yapıldı.
Mehmet Akif Ersoy Kültür Merkezi’nde noter huzurunda yapılan kur’a çekimi ile 6 ay boyunca istihdam edilecek 400 işçinin isimleri belirlendi.
15 Mart 2017 Çarşamba günü yapılan kur’a çekimi sonunda 20 Mart 2017 Pazartesi günü işbaşı yapması beklenen 400 işçinin ismi şu şekilde:



.jpg)
-001.jpg)




Türkçe karakter kullanılmayan ve büyük harflerle yazılmış yorumlar onaylanmamaktadır.